首页 / 应用中心 / 悬浮眼用液

悬浮眼用液

Suspending Eye Drops

眼用悬浮液是一种含有未完全溶解固体颗粒的医用眼药水,这些颗粒均匀分布于液体载体中,能够在滴眼后实现药物的持续缓释效果。

获取免费报价

实验参数


溶出装置RT700 流池法溶出系统
温度37℃± 0.5℃
型号闭环型

Experimental Result


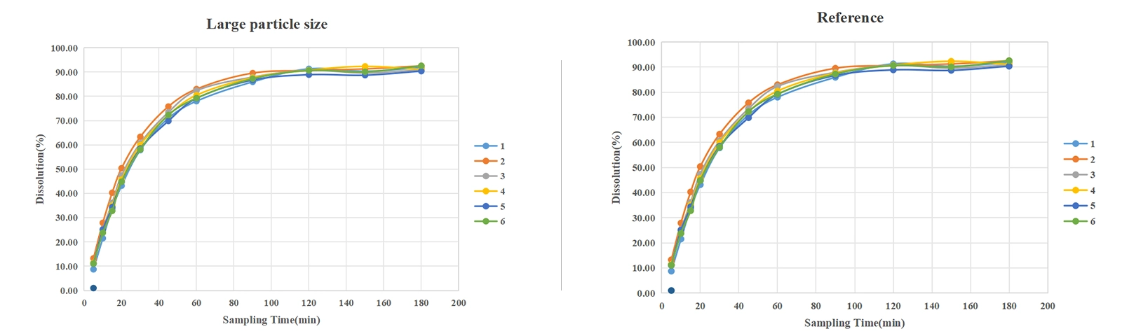
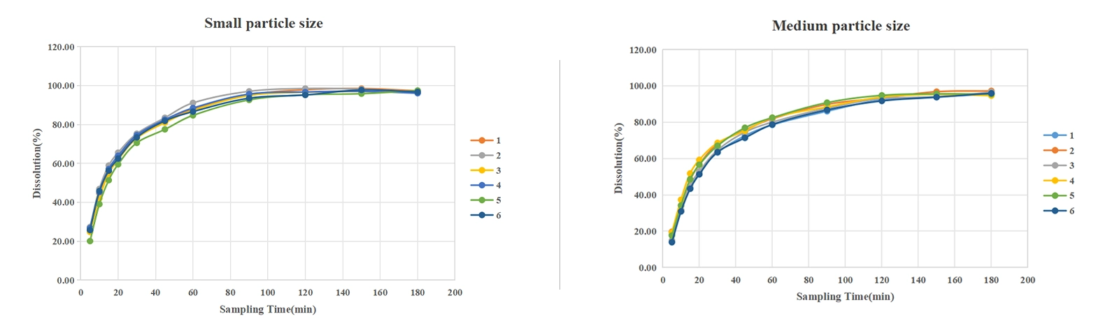
①重复性:小、中、大粒径样品及参考品的相对标准偏差(RSD)范围分别为0.51%~10.44%、0.95%~13.58%、0.91%~12.99%和0.72%~14.93%。

②鉴别力:该方法能够清晰体现关键质量属性(粒径)变化对该眼用悬浊液体外释放行为的影响,有助于区分仿制药与参比制剂。

结论:RT700在眼用悬浊液体外溶出测试中表现出良好的重复性和鉴别力。